Thông tin về việc 58 bài thi trắc nghiệm điểm 0 được tăng điểm sau khi chấm phúc khảo tại Hội đồng thi Sở Giáo dục và Đào tạo tỉnh Tây Ninh, ngày 30/7, chia sẻ với báo chí, ông Sái Công Hồng, Phó Cục trưởng Cục Quản lý chất lượng, Bộ Giáo dục và Đào tạo cho biết:
Trong quá trình đối soát dữ liệu điểm thi từ các địa phương gửi về, Bộ Giáo dục và Đào tạo đã phát hiện những bất thường về điểm thi của một số bài thi trắc nghiệm tại Hội đồng thi tỉnh Tây Ninh.
| Điểm môn Giáo dục công dân cao, sao đạo đức của học sinh lại đang có vấn đề? |
Bộ Giáo dục và Đào tạo đã chỉ đạo Ban Chấm chi trắc nghiệm và Sở Giáo dục và Đào tạo tỉnh Tây Ninh rà soát, báo cáo Bộ Giáo dục và Đào tạo.
Căn cứ báo cáo, Bộ Giáo dục và Đào tạo đã chỉ đạo Sở Giáo dục và Đào tạo Tây Ninh tổ chức gặp gỡ 34 thí sinh và gia đình các em ngay sau khi công bố kết quả thi để trao đổi, động viên các em.
Để đảm bảo quyền lợi của thí sinh và thực hiện đúng quy chế thi, Bộ Giáo dục và Đào tạo đã yêu cầu đưa những bài thi này vào diện chấm phúc khảo và yêu cầu cập nhật, công bố kết quả phúc khảo để thí sinh kịp thời sử dụng trong xét tuyển sinh đại học, cao đẳng.
Theo báo cáo của Ban Phúc khảo bài thi trắc nghiệm Hội đồng thi Sở Giáo dục và Đào tạo tỉnh Tây Ninh, việc chấm phúc khảo đã được thực hiện theo đúng quy trình phúc khảo của Bộ Giáo dục và Đào tạo:
Ban Phúc khảo đã rút bài thi của thí sinh, đối chiếu với biên bản thu bài thi, sơ đồ phát đề thi và dữ liệu ảnh quét của thí sinh để kiểm tra tính chính xác, xác định rõ nguyên nhân rồi tiến hành chấm phúc khảo.
Sau khi chấm phúc khảo, 58 bài thi trắc nghiệm của 34 thí sinh thuộc Hội đồng thi Sở Giáo dục và Đào tạo tỉnh Tây Ninh đã được trả về kết quả thực. Nguyên nhân của việc 58 bài thi trắc nghiệm bị điểm 0 được phát hiện là do thí sinh tô sai mã đề, tô nhầm số báo danh và tô mờ đáp án.
Ông Sái Công Hồng cũng cho biết, việc 58 bài thi trắc nghiệm của 34 thí sinh bị điểm 0 là hiện tượng cá biệt, chỉ xảy ra ở Hội đồng thi Sở Giáo dục và Đào tạo tỉnh Tây Ninh.
| Kết quả kỳ thi quốc gia phản ánh chưa toàn diện chất lượng giáo dục ở địa phương |
Trước đó, ngày 26/7, Sở Giáo dục và Đào tạo Tây Ninh đã công bố kết quả chấm phúc khảo kì thi trung học phổ thông quốc gia 2019.
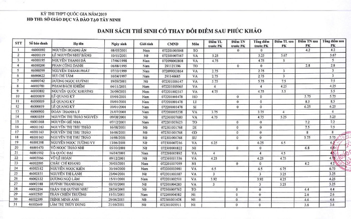
Theo đó, sau khi chấm phúc khảo, hội đồng thi tỉnh Tây Ninh xác định có 95 bài thi thay đổi điểm so với điểm công bố ban đầu. Đáng chú ý, tất cả các bài thi sau chấm phúc khảo điểm đều tăng, đặc biệt có bài thi tăng từ 0 lên 8,75 điểm.
Cụ thể, ở các môn thi trắc nghiệm, có 58 bài thi bị điểm 0.
Trong đó, sau chấm phúc khảo, bài tăng điểm nhiều nhất là 0 lên 8,75; bài tăng điểm ít nhất từ 0 lên 2. Ngoài ra, có rất nhiều bài thi tăng điểm từ 0 lên 7 - 7,2 - 7,5.
Ở môn tự luận (Ngữ văn) có 33 bài thi tăng điểm sau chấm phúc khảo. Mức tăng chủ yếu từ 0,25 đến 0,75 điểm. Bài tăng nhiều nhất là 1,75 điểm.
Các thí sinh sau chấm phúc khảo có điểm thi tăng nhiều nhất là:
Nguyễn Thị Kim Thoa: môn Giáo dục Công dân (từ 0 lên 8,75 điểm)
Lê Quyền Huy: môn Giáo dục Công dân (từ 0 lên 8 điểm)
Võ Thị Kim Loan: môn Toán (từ 0 lên 8 điểm).
Nguyễn Thị Thu Thảo: môn Giáo dục công dân (từ 0 lên 8 điểm)
Lê Quang Kỳ: môn Vật lý (từ 0 lên 8,5 điểm)
Ngoài ra, có nhiều thí sinh phúc khảo 3 bài thi và cả 3 bài đều tăng rất nhiều điểm.
Thí sinh Nguyễn Thị Thu Thảo: môn Giáo dục công dân (từ 0 lên 8 điểm); môn Địa (từ 0 lên 7,5 điểm); môn Sử (từ 0 lên 5,75).
Thí sinh Lê Quang Kỳ: môn Vật lý (từ 0 lên 8,5 điểm); môn Hóa (từ 0 lên 5,75 điểm); môn Sinh (từ 0 lên 6,25 điểm).
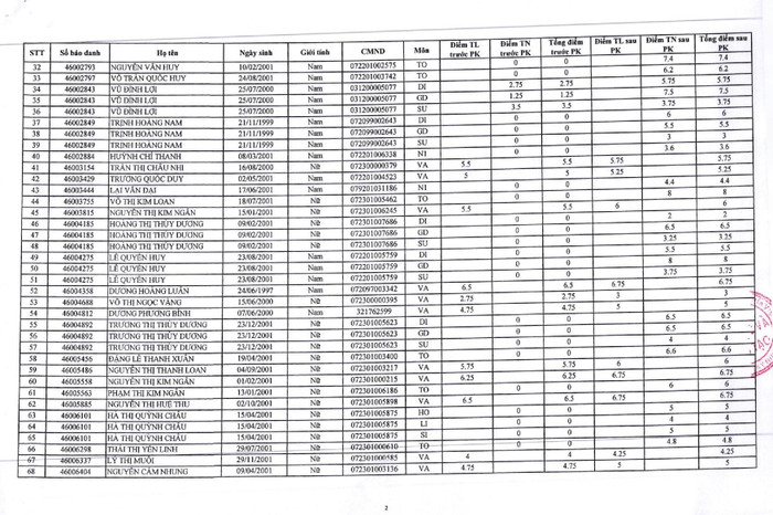
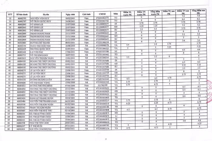
Danh sách 95 thí sinh được thay đổi điểm so với điểm công bố ban đầu tại Tây Ninh như sau:
![]() |
![]() |
![]() |


