Chương trình giáo dục phổ thông mới 2018 ở cấp trung học cơ sở xuất hiện 2 môn học tích hợp là Khoa học tự nhiên, Lịch sử và Địa lý gây nhiều bức xúc, phản ứng trái chiều trong lực lượng giáo viên.
Giáo viên từ đạt chuẩn có thể trở thành thiếu chuẩn và có thể không được phân công giảng dạy, thậm chí bị tinh giản biên chế trong thời gian tới nếu không có chứng chỉ tích hợp.
![]() |
| Ảnh minh họa. P.L |
Giáo viên không có chứng chỉ tích hợp khó được phân công giảng dạy
Cụ thể, ngày 21/7, Bộ Giáo dục và Đào tạo ra Quyết định 2454/QĐ-BGDĐT về Chương trình bồi dưỡng giáo viên trung học cơ sở dạy môn Khoa học tự nhiên và Quyết định 2455/QĐ-BGDĐT về Chương trình bồi dưỡng giáo viên trung học cơ sở dạy môn Lịch sử và Địa lý.
Theo các quyết định này, thời gian bồi dưỡng là 3 tháng.
Về phần kinh phí bồi dưỡng theo Quyết định 2454/QĐ-BGDĐT, 2455/QĐ-BGDĐT ngày 21/7/2021 quy định từ:
“Từ nguồn ngân sách nhà nước dành cho đào tạo, bồi dưỡng thường xuyên của ngành, địa phương.
Từ nguồn kinh phí của các đơn vị cử người đi bồi dưỡng.
Do người học tự đóng góp.”
Bên cạnh đó, tại Quyết định 2454 và Quyết định 2455 đều quy định “Chương trình bồi dưỡng này được coi là điều kiện tối thiểu để mỗi giáo viên có thể bắt đầu triển khai dạy học môn Khoa học tự nhiên, Lịch sử và Địa lý”.
Tại các hướng dẫn thực hiện chương trình giáo dục phổ thông mới, Bộ Giáo dục và Đào tạo đều có hướng dẫn “Nhà trường cần chủ động xây dựng kế hoạch đào tạo, bồi dưỡng để giáo viên đáp ứng yêu cầu về chuyên môn đảm nhận việc dạy học toàn bộ chương trình môn học”.
Chương trình giáo dục phổ thông 2018 đã khẳng định Khoa học tự nhiên, Lịch sử và Địa lý là một môn học và tiến tới sau khi đào tạo sẽ do 1 giáo viên giảng dạy cả 2, 3 phân môn trong các Quyết định 2454, 2455.
Giả sử đến năm học 2024-2025, khi đã thực hiện toàn bộ chương trình giáo dục phổ thông mới ở các bậc học, trường có 6 giáo viên các môn Vật lý, Hóa học, Sinh học, sau khi bồi dưỡng có 4 giáo viên được cấp chứng chỉ Khoa học tự nhiên sẽ được phân công giảng dạy môn Khoa học tự nhiên, còn 2 giáo viên vì lý do nào đó không được cấp chứng chỉ sẽ không được được phân công giảng dạy.
Như vậy, trong thời gian tới những giáo viên do điều kiện nào đó không có chứng chỉ Khoa học tự nhiên, Lịch sử và Địa lý sẽ có thể không được phân công giảng dạy.
Giáo viên không có chứng chỉ tích hợp, không được bố trí giảng dạy có trái Luật Giáo dục?
Như vậy, trong thời gian tới giáo viên các môn Lịch sử, Địa lý, Vật lý, Hóa học, Sinh học muốn được phân công giảng dạy các môn Khoa học tự nhiên, Lịch sử và Địa lý phải có chứng chỉ 2 môn tích hợp trên, dù ở các văn bản pháp luật hiện hành chưa có quy định bắt buộc cụ thể.
Tuy nhiên, nhiều nhà giáo băn khoăn khi Điều 72 Luật Giáo dục 2019 quy định về trình độ chuẩn được đào tạo của nhà giáo như sau:
“1. Trình độ chuẩn được đào tạo của nhà giáo được quy định như sau:
a) Có bằng tốt nghiệp cao đẳng sư phạm trở lên đối với giáo viên mầm non;
b) Có bằng cử nhân thuộc ngành đào tạo giáo viên trở lên đối với giáo viên tiểu học, trung học cơ sở, trung học phổ thông.
Trường hợp môn học chưa đủ giáo viên có bằng cử nhân thuộc ngành đào tạo giáo viên thì phải có bằng cử nhân chuyên ngành phù hợp và có chứng chỉ bồi dưỡng nghiệp vụ sư phạm;…”.
Theo quy định, chỉ cần đạt chuẩn trình độ đào tạo thì giáo viên được phân công giảng dạy, để được xếp hạng giáo viên phải đảm bảo các tiêu chuẩn theo chùm Thông tư 01-04/2021/TT-BGDĐT (đang được sửa đổi, bổ sung).
Do đó, giáo viên đã đảm bảo tiêu chuẩn trình độ đào tạo, đủ các văn bằng chứng chỉ, được đánh giá hoàn thành tốt nhiệm vụ,… nhưng nếu không có chứng chỉ tích hợp không được phân công giảng dạy, người viết cho rằng chưa đúng Luật Giáo dục và các văn bản quy phạm pháp luật hiện hành.
Người viết tìm hiểu các văn bản quy định cũng không tìm thấy văn bản nào quy định giáo viên đạt chuẩn nhưng thiếu chứng chỉ tích hợp không được phân công giảng dạy.
Tuy nhiên, do định hướng các môn Khoa học tự nhiên, Lịch sử và Địa lý sắp tới chỉ do 1 giáo viên giảng dạy nên dù Luật chưa quy định nhưng giáo viên chưa có chứng chỉ tích hợp khó có thể được phân công giảng dạy.
Không dễ để được cấp chứng chỉ tích hợp
Như vậy vấn đề học bồi dưỡng chứng chỉ tích hợp để được phân công giảng dạy môn Khoa học tự nhiên, Lịch sử và Địa lý là vấn đề gần như bắt buộc.
Kinh phí có thể từ 3 nguồn kinh phí bồi dưỡng chương trình mới, ngân sách trường hoặc cá nhân tự đóng góp (tự nguyện).
Về kinh phí, giáo viên có lẽ không đáng lo khi phần kinh phí bồi dưỡng có thể hiểu là giáo viên tự nguyện đăng ký học nên phải đóng góp, giáo viên được nhà trường, Sở Giáo dục cử đi học sẽ được miễn học phí.
Người viết cho rằng để được cấp chứng chỉ bồi dưỡng tích hợp Khoa học tự nhiên, Lịch sử và Địa lý không phải là chuyện đơn giản, thậm chí là rất khó trong giai đoạn hiện nay, nhiều giáo viên đã dạy đơn môn một thời gian dài, kiến thức các môn còn lại không còn nhớ và giáo viên vừa dạy vừa bồi dưỡng.
Người viết xin được nêu điều kiện để được cấp chứng chỉ Khoa học tự nhiên theo Quyết định 2454 của Bộ Giáo dục và Đào tạo để thấy rằng trong điều kiện hiện nay, vừa dạy vừa học khó có thể đạt để được cấp chứng chỉ trên.
Theo Quyết định 2454 thì đối tượng A: đã tốt nghiệp đại học, cao đẳng đơn ngành sư phạm hoặc cử nhân Vật lý, sư phạm Hóa học, sư phạm Sinh học hoặc các ngành sư phạm hoặc cử nhân song môn trong có 1 môn là Vật lý hoặc Hóa học hoặc Sinh học (Toán học - Vật lý, Vật lý – Kỹ thuật công nghiệp, Toán học - Hóa học, Sinh học – Thể dục thể thao,...) bồi dưỡng 36 tín chỉ.
Đối tượng B: đã tốt nghiệp đại học, cao đẳng các ngành sư phạm hoặc cử nhân: Vật lý - Hóa học, Hóa học - Sinh học, Sinh học - Hóa học bồi dưỡng 20 tín chỉ.
Giáo viên Vật lý sẽ được bồi dưỡng 14 học phần gồm: Nhập môn Khoa học tự nhiên (1 tín chỉ), Cơ sở Hóa học chung 1 (3 tín chỉ), Hóa học chung 2 (2 tín chỉ), Hóa học vô cơ 1 (3 tín chỉ), Hóa học vô cơ 2 (2 tín chỉ), Hóa học hữu cơ (3 tín chỉ), Hóa học môi trường (3 tín chỉ), Đa dạng thế giới sống (1 tín chỉ), Sinh học tế bào (2 tín chỉ), Sinh học cơ thể (3 tín chỉ), Con người và sức khỏe (3 tín chỉ), Sinh thái và bảo vệ môi trường (3 tín chỉ), Di truyền và tiến hóa (3 tín chỉ), Dạy môn Khoa học tự nhiên (3 tín chỉ).
Tại khoản 6 Quyết định 2454 quy định về đánh giá kết quả học tập như sau:
“- Học viên phải tham gia tối thiểu 80% thời gian học tập trực tiếp của chương trình bồi dưỡng quy định cho mỗi học phần thì được tham gia kiểm tra kết thúc học phần đó. Ngoài ra, với các học phần có kết hợp đào tạo trực tuyến thì học viên phải đáp ứng được các yêu cầu về đào tạo trực tuyến của cơ sở đào tạo.
- Kết thúc mỗi học phần của chương trình bồi dưỡng, học viên phải thực hiện một bài kiểm tra viết trong thời gian tối thiểu 60 phút. Bài kiểm tra được chấm theo thang điểm 10. Riêng đối với các học phần Nhập môn Khoa học tự nhiên; Dạy học môn Khoa học tự nhiên, học viên sẽ phải viết bài tiểu luận theo yêu cầu của giảng viên.
Bài tiểu luận được đánh giá theo thang điểm 10. Học viên nào không đạt 5 điểm trở lên thì phải kiểm tra lại hoặc làm lại bài tiểu luận theo yêu cầu của từng học phần.
- Điểm đánh giá học phần được tính là điểm bài thi kết thúc các học phần hoặc điểm bài tiểu luận.
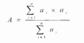
- Điểm trung bình chung tích lũy của toàn khóa bồi dưỡng được tính theo công thức sau và được làm tròn đến 2 chữ số thập phân:
![]() |
| Công thức tính điểm trung bình chung toàn khóa học theo Quyết định 2454 |
Trong đó:
A là điểm trung bình chung tích lũy, ai là điểm của học phần thứ i, ni là số tín chỉ của học phần thứ i, n là tổng số học phần.”
Theo quy định trên, giáo viên Vật lý sẽ trải qua 14 học phần, mỗi học phần sẽ thực hiện một bài kiểm tra, đối với các học phần Nhập môn Khoa học tự nhiên; Dạy học môn Khoa học tự nhiên, học viên sẽ phải viết bài tiểu luận theo yêu cầu của giảng viên và phải đạt trên 5,0 điểm.
Nếu giáo viên thực hiện bài kiểm tra hoặc tiểu luận dưới 5,0 điểm thì phải kiểm tra lại.
Như vậy, cơ bản để được cấp chứng chỉ bồi dưỡng Khoa học tự nhiên, mỗi học phần phải đạt trên 5,0 điểm.
Trong điều kiện vừa dạy vừa bồi dưỡng những kiến thức từ lâu đã không tiếp cận thì việc đạt điểm tất cả các học phần phải từ 5,0 điểm trở lên không hề dễ dàng, nếu đánh giá đúng sẽ có nhiều giáo viên sẽ không được cấp chứng chỉ sau bồi dưỡng vì kiểm tra hoặc bài tiểu luận không đạt.
Không có chứng chỉ tích hợp liệu có bị tinh giản biên chế?
Các trường hợp không được cấp chứng chỉ tích hợp gồm: Giáo viên không tham gia bồi dưỡng, giáo viên bồi dưỡng nhưng không theo kịp và bỏ học, giáo viên bồi dưỡng nhưng không tích lũy được số tín chỉ, không đạt điểm 5,0 các học phần.
Liệu những giáo viên này trong thời gian tới có bị tinh giản biên chế hay không?
Theo tìm hiểu của người viết, giáo viên đã đạt chuẩn trình độ đào tạo theo Luật Giáo dục 2019, đầy đủ văn bằng, chứng chỉ, được đánh giá hoàn thành tốt nhiệm vụ trở lên thì theo Nghị định 1/VBHN-BNV về tinh giản biên chế, không có quy định về giáo viên không có chứng chỉ tích hợp sẽ bị tinh giản biên chế.
Tuy nhiên, điều này sẽ gây ra một số khó khăn như những giáo viên không có chứng chỉ tích hợp sẽ không được phân công giảng dạy nhưng lại không được tinh giản biên chế.
Thực tế, nhiều giáo viên đã giảng dạy đơn môn vài chục năm, kiến thức của 2 môn bồi dưỡng đã quên gần hết, cộng với sức khỏe, khả năng tiếp nhận thêm kiến thức sẽ có nhiều khó khăn nên không đạt trong quá trình học là điều có khả năng xảy ra.
Khi đó, phân công như thế nào đối với giáo viên không có chứng chỉ tích hợp trong thời gian tới sẽ là điều đáng bàn.
Người viết mong Bộ Giáo dục và Đào tạo sớm có những phương án cụ thể trong các trường hợp trên, nghiên cứu phương án hợp lý trong việc dự kiến 1 giáo viên đảm nhận 3 phân môn Vật lý, Hóa học, Sinh học.
(*) Văn phong, nội dung bài viết thể hiện góc nhìn, quan điểm của tác giả.

