![]() |
| Đề thi chuyên Toán vào trường THPT Chuyên Lê Qúy Đôn tỉnh Bình Định. |
![]() |
![]() |
![]() |
| Đề thi Toán chung vào THPT Chuyên Lê Qúy Đôn, Bình Định. |
![]() |
![]() |
![]() |
![]() |
![]() |
![]() |
![]() |
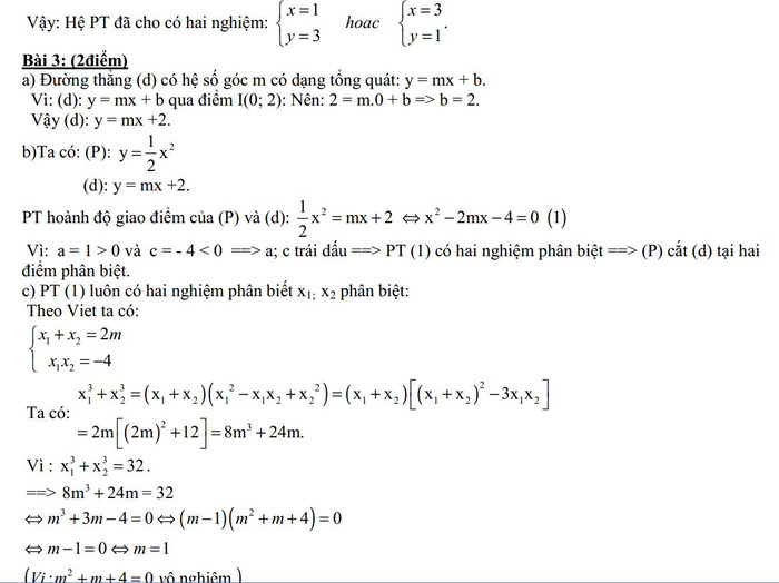
| Đáp án môn Toán chung trường THPT Chuyên Lê Qúy Đôn. |
![]() |
![]() |
![]() |
![]() |
![]() |
![]() |
Kim Ngân (Tổng hợp)
![]() |
| Đề thi chuyên Toán vào trường THPT Chuyên Lê Qúy Đôn tỉnh Bình Định. |
![]() |
![]() |
![]() |
| Đề thi Toán chung vào THPT Chuyên Lê Qúy Đôn, Bình Định. |
![]() |
![]() |
![]() |
![]() |
![]() |
![]() |
![]() |
| Đáp án môn Toán chung trường THPT Chuyên Lê Qúy Đôn. |
![]() |
![]() |
![]() |
![]() |
![]() |
![]() |
















