LTS: Từ một đáp án thiếu mà Bộ Giáo dục và Đào tạo cung cấp trên website của Bộ, thầy giáo Trần Trí Dũng đưa ra một vài ý kiến về cách dạy và học hiện nay.
Tòa soạn trân trọng gửi đến độc giả bài viết!
Trong các môn khoa học cơ bản, đặc biệt trong việc giải bài tập của các môn khoa học tự nhiên, đối với một bài tập có thể có nhiều cách giải khác nhau.
Khi đó, đối với những cách giải nhất định sẽ cho đầy đủ kết quả, mà khi giảỉ nếu người giải không thận trọng sẽ không nhận ra được điều này, từ đó sẽ cho kết quả thiếu.
Bài Toán sau đây trong một đề thi Tuyển sinh Đại học là một thí dụ như vậy, mà trên thực tế đáp án của Bộ Giáo dục và Đào tạo đã cho kết quả thiếu. Từ đó, cần thiết nhìn nhận lại việc dạy và học hiện nay.
![]() |
| Cách giải 1 mà Bộ Giáo dục và Đào tạo đưa ra bị thiếu đáp án. |
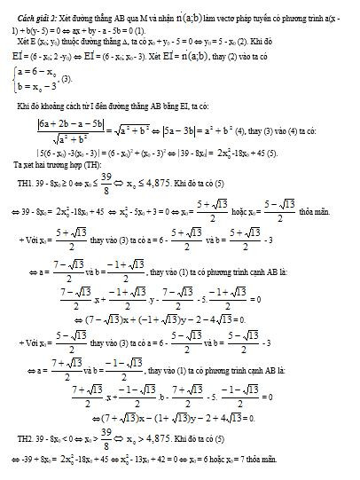
![]() |
| Cách giải 2 tuy dài hơn nhưng đưa ra được kết quả. (Xem thêm ảnh dưới) |
![]() |
| Cách giải 2 đưa ra đáp án đầy đủ. |
Như thế, ở bài toán này ta thấy, cách giải 1 tuy có ngắn gọn nhưng không cho đầy đủ kết quả, cách giải 2 có dài hơn nhưng cho kết quả đầy đủ hơn.
Từ bài này cần thiết rút ra một kinh nghiệm dạy và học là, đối với một bài toán cần thiết tìm tòi nhiều lời giải khác nhau nếu không sẽ cho thiếu kết quả, để từ đó có cái nhìn khái quát về vấn đề khoa học.
Qua bài toán này, từ sự kết quả thiếu theo cách giải trong Đáp án của Bộ Giáo dục và Đào tạo cần thiết nhìn nhận lại cách dạy và học hiện nay ở bậc Trung học phổ thông, đặc biệt là vấn đề thi Tuyển sinh Đại học.
Cán bộ Cục khảo thí tự ý viết tài liệu ôn thi quốc gia |
Cũng bởi lẽ trong nhiều năm tổ chức thi Tuyển sinh, vấn đề sai sót trong đề thi cũng đã có.
Vì thế, cần thiết đặt thành vấn đề thời sự để bộ phận chuyên môn của Bộ Giáo dục và Đào tạo rút kinh nghiệm, tránh gây hoang mang và thiệt thòi cho thí sinh dự thi, từ đó định hướng cách giảng dạy và học tập được đứng đắn hơn.
Đây là một vấn đề khoa học nảy sinh trong môn Toán, mong các thầy cô giáo và các em học sinh tham khảo, từ đó đúc rút kinh nghiệm cho mình trong quá trình giảng dạy và học tập. Chúc các bạn thành công!
* Thông tin tham khảo đề thi và đáp án môn Toán khối A trên trang: http://thi.moet.edu.vn/?page=1.8&nam=2009




