Thông tin tòa soạn
Đường dây nóng: 0938.766.888
toasoan@giaoduc.net.vn
Giáo dục 24h
Tin Hiệp hội
Sống Đẹp
Chuyển đổi số
Sử dụng thống nhất một bộ sách giáo khoa
Tiêu điểm
Hướng tới Đại hội Đảng khóa XIV
Góc nhìn
Trách nhiệm nêu gương
Du học
Sức khỏe học đường
Thể thao học đường
Văn hóa
Kinh tế
Thông tin cần biết
Giáo dục 24h
Đáp án đề thi môn Toán vào lớp 10 tại TP Hồ Chí Minh
22/06/2012 20:22
Kim Ngân (tổng hợp)
Theo dõi trên
(GDVN) - Báo Giáo dục Việt Nam tiếp tục gửi tới bạn đọc đáp án môn Toán vào lớp 10 tại TP Hồ Chí Minh.
Đề thi môn Toán kỳ thi tuyển vào lớp 10 taị thành phố Hồ Chí Minh.
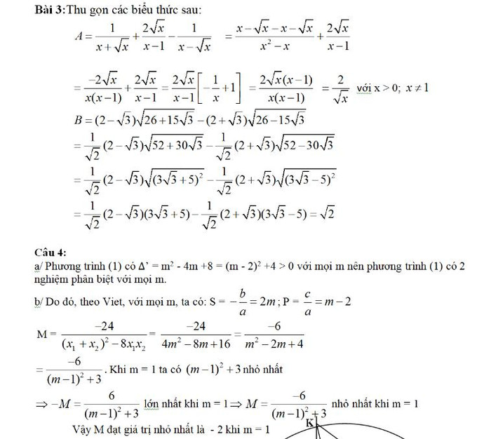
Đáp án đề thi Toán.
Kim Ngân (tổng hợp)
Tạp chí điện tử Giáo dục Việt Nam
Chuyển đổi số
Ứng dụng công nghệ, chuyển đổi số trong ngư nghiệp để đảm bảo sinh kế bền vững cho ngư dân
Chuyển đổi số - “đòn bẩy” nâng tầm giá trị đặc sản hồng vành khuyên xứ Lạng, tạo sinh kế bền vững
Kinh doanh dịch vụ không cần nhân viên: Thanh toán, quản lý tự động là chìa khóa thành công
"Người trong cuộc" chia sẻ việc tối ưu quy trình, mở rộng thị trường xuất khẩu nhờ chuyển đổi số
Để chuyển đổi số thành công cần áp dụng nguyên tắc “chuẩn hóa trước - số hóa sau”
Tin hiệp hội
Tăng cường hợp tác với doanh nghiệp, đối tác trong đào tạo và nghiên cứu du lịch
Hiệp hội Các trường ĐH, CĐ Việt Nam tổ chức Hội nghị Ban thường vụ nhiệm kỳ II
Chuyển đổi số đang làm thay đổi hoạt động giáo dục
Cần tổng kết mô hình các trường ĐH trực thuộc Ủy ban Nhân dân tỉnh/thành phố
Làm việc với Hiệp hội, Trường Đại học Nam Cần Thơ nêu 6 kiến nghị
Giáo dục phổ thông mới
Thứ trưởng Phạm Ngọc Thưởng lưu ý, sắp xếp mạng lưới trường học không phải là cắt giảm cơ học
Chi tiết những trường tư thục có học phí từ 100 triệu đến gần tỷ đồng/năm tại Hà Nội
Sở GD&ĐT An Giang hướng dẫn tổ chức kiểm tra cuối học kỳ I
Triển khai dạy AI ở phổ thông: Hiệu trưởng kiến nghị phương thức huy động nguồn lực xã hội hóa
Đề xuất giải pháp tháo gỡ tình trạng nhiều xã, phường thiếu cán bộ chuyên môn về giáo dục
chủ đề nổi bật
Đổi mới giáo dục Đại học
3,000
THI QUỐC GIA
971
CẤM DẠY THÊM
547
LẠM THU
611
Gương sáng cô thầy
890
Tuyển sinh đầu cấp
1,516
THỜI ĐẠI 4.0
472
KHỞI NGHIỆP
117
Đọc nhiều
1 .
GS.TS Nguyễn Thị Thanh Mai được bổ nhiệm làm Giám đốc Đại học Quốc gia Thành phố Hồ Chí Minh
2 .
Đề xuất giáo viên trường công chỉ được dạy thêm ngoài giờ hành chính
3 .
Bộ đề nghị rà soát việc thăng hạng: Tiêu chuẩn, điều kiện để giáo viên hạng III lên hạng II
4 .
Hội thi giáo viên dạy giỏi cấp tỉnh giờ đây không còn cảnh giáo viên "diễn" nữa
5 .
Bộ GD&ĐT đề nghị các địa phương rà soát việc thăng hạng chức danh cho giáo viên
Đang tải tin...
Thông tin tòa soạn
×
© Tạp chí điện tử Giáo dục Việt Nam
Cơ quan chủ quản: Hiệp hội Các trường đại học, cao đẳng Việt Nam.
Giấy phép số 74/GP-BTTTT ngày 26/02/2020.
Giấy phép sửa đổi, bổ sung số 50/GP-BTTTT ngày 05/03/2024.
Phó Chủ tịch Hiệp hội, Tổng Biên tập: Nguyễn Tiến Bình.
Tầng 3 Khu A, Phòng 3,4 số 141 Lê Duẩn, P.Cửa Nam, TP.Hà Nội
Bộ phận nội dung: 0938.766.888; Bộ phận Hành chính - Quảng cáo: 0987.835.033
Email:
toasoan@giaoduc.net.vn