ĐH Trà Vinh: Không tìm thấy đề án mở ngành mới, năm 2023 dừng tuyển nhiều ngành

19/04/2025 06:24
Tường San
Theo dõi trên Google News

GDVN -Là cơ sở giáo dục đại học đào tạo ngành học khá đa dạng, thế nhưng chỉ riêng năm 2023 đã có không ít ngành học bị Trường Đại học Trà Vinh cho dừng tuyển sinh.

Tiền thân là Trường Cao đẳng Cộng đồng Trà Vinh, Trường Đại học Trà Vinh được chính thức thành lập theo Quyết định 141/QĐ/2006-TTg ngày 19/6/2006 của Thủ tướng Chính phủ và trở thành một trong những trường đại học công lập trong hệ thống giáo dục đại học Việt Nam.

Theo thông tin đăng tải trên website, ngày 13/04/2017, Thủ tướng Chính phủ đã phê duyệt Đề án thí điểm đổi mới cơ chế hoạt động của Trường Đại học Trà Vinh, với mục tiêu của đề án là phát triển Trường Đại học Trà Vinh thành trường đại học định hướng ứng dụng theo các chuẩn mực khu vực và quốc tế; hoạt động tự chủ gắn với trách nhiệm bảo đảm các đối tượng chính sách, đối tượng thuộc hộ nghèo có cơ hội học tập, nghiên cứu tại Trường.

Về sứ mệnh, nhà trường đào tạo đa ngành, đa cấp, liên thông, đáp ứng đa dạng nhu cầu của người học; nghiên cứu khoa học; phát triển ứng dụng, chuyển giao công nghệ, phục vụ xã hội; góp phần quan trọng làm tăng cơ hội việc làm, thúc đẩy tinh thần đổi mới sáng tạo và khởi nghiệp, nâng cao chất lượng cuộc sống của cộng đồng và thúc đẩy phát triển kinh tế - xã hội của địa phương và cả nước.

Về tầm nhìn, nhà trường có định hướng trở thành trường đại học tiên tiến định hướng ứng dụng điển hình xuất sắc, đặc thù, hội nhập quốc tế.

Đến thời điểm hiện tại, Trường Đại học Trà Vinh đã thành lập 03 trường thực hiện chức năng đào tạo, gồm: Trường Kinh tế, Luật và Trường Ngôn ngữ – Văn hóa – Nghệ thuật Khmer Nam bộ và Nhân văn, Trường Y Dược trên cơ sở sáp nhập các khoa đào tạo có lĩnh vực gần nhau; tuyển sinh và đào tạo 10 ngành đào tạo tiến sĩ, 17 ngành đào tạo thạc sĩ, 09 ngành Chuyên khoa Cấp I, 01 ngành Chuyên khoa Cấp II, 49 ngành đào tạo đại học.

Hiện, trường do Phó Giáo sư, Tiến sĩ Nguyễn Minh Hòa làm Hiệu trưởng; thầy Phạm Tiết Khánh làm Chủ tịch Hội đồng trường.

Qua tìm hiểu của phóng viên tại Đề án tuyển sinh 2024 cho thấy, năm 2024, Trường Đại học Trà Vinh bắt đầu tuyển sinh ngành Bảo vệ thực vật (Mã ngành: 7620112), tuy nhiên, tính đến ngày 04/03/2025, khi truy cập vào link Đề án mở mã ngành đào tạo trình độ đại học Ngành Bảo vệ thực vật do Nhà trường đăng tải trên website, phóng viên thấy hiện dòng chữ “Không có bản xem trước nào”.

Điều 14, Thông tư số 02/2022/TT-BGDĐT quy định: Trong thời gian 05 ngày kể từ ngày ban hành quyết định mở ngành đào tạo hoặc nhận được quyết định cho phép mở ngành đào tạo của cơ quan có thẩm quyền, cơ sở đào tạo phải công khai trên trang thông tin điện tử của cơ sở đào tạo, …

Screenshot 2025-03-04 145634.png
Ảnh chụp màn hình.

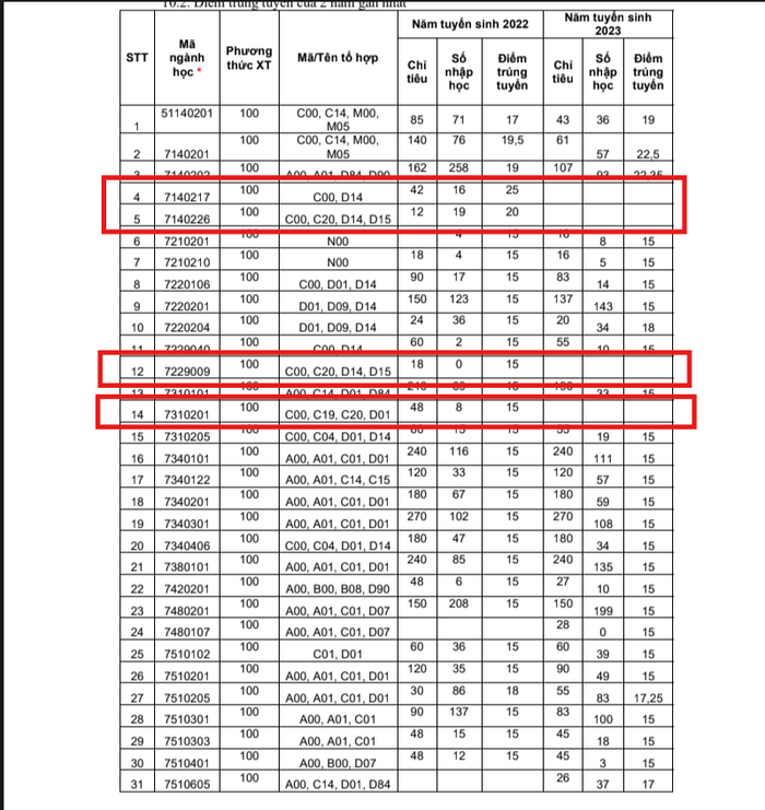
Cũng tại Đề án tuyển sinh 2024, phóng viên thấy rằng, năm 2023, Nhà trường đã dừng tuyển sinh nhiều ngành học. Trong đó, có một số ngành bắt đầu tuyển sinh từ năm 2019 như ngành Sư phạm tiếng Khmer - 7140226, ngành Dinh dưỡng - 7720401, ngành Quản trị nhà hàng và dịch vụ ăn uống - 7810202, ngành Quản trị khách sạn - 7810201; ngành Tôn giáo học - 7229009 (không tìm thấy thông tin năm nào mở ngành), ngành Chính trị học - 7310201 (bắt đầu tuyển sinh năm 2016), ngành Công tác xã hội - 7760101 (bắt đầu tuyển sinh năm 2017).

Screenshot 2025-04-16 091107.png
Screenshot 2025-04-16 091229.png
Ảnh chụp màn hình các ngành học Trường Đại học Trà Vinh dừng tuyển sinh từ năm 2023.

Trước đó, tại Đề án tuyển sinh 2023, Trường Đại học Trà Vinh đã dừng tuyển sinh ngành Hệ thống thông tin quản lý vào năm 2022. Tuy nhiên, phóng viên cũng không tìm thấy thông tin về ngành học này tại mục “Thông tin danh mục ngành được phép đào tạo” tại đề án tuyển sinh 2022 của nhà trường, chưa nắm được thông tin về thời gian mở ngành, đề án mở ngành này của Nhà trường.

Như vậy, chỉ trong 1 năm, Nhà trường đã dừng tuyển sinh khá nhiều ngành học, thậm chí nhiều ngành mới chỉ đào tạo được 4 năm.

Mặt khác, theo báo cáo công khai tài chính năm học 2023-2024 và năm học 2022-2023 do Nhà trường đăng tải, phóng viên thấy rằng, nguồn thu từ nghiên cứu khoa học và chuyển giao công nghệ tăng mạnh, từ 3, 646 tỷ đồng (năm 2022) lên 14 tỷ đồng (năm 2023). Đồng thời, nguồn thu từ nguồn hợp pháp khác cũng có xu hướng tăng nhẹ từ 18, 808 tỷ đồng (năm 2022) lên 19 tỷ đồng (năm 2023).

Screenshot 2025-04-15 152330.png
Ảnh chụp màn hình báo cáo công khai tài chính năm học 2022-2023.
Screenshot 2025-04-15 152402.png
Ảnh chụp màn hình báo cáo công khai tài chính năm học 2023-2024.

Bên cạnh đó, theo báo cáo công khai thông tin về đội ngũ giảng viên cơ hữu năm học 2023 - 2024, tỷ lệ giảng viên đạt trình độ tiến sĩ của Nhà trường đạt mức 32,23%.

Theo Thông tư số 01/2024/TT-BGDĐT, quy định về tỷ lệ giảng viên toàn thời gian có trình độ tiến sĩ là không thấp hơn 40% và từ năm 2030 không thấp hơn 50% đối với cơ sở giáo dục đại học có đào tạo tiến sĩ.

Cũng theo báo cáo công khai thông tin về đội ngũ giảng viên cơ hữu năm học 2023-2024, phóng viên thấy rằng, nhà trường tính tổng số giảng viên giảng dạy đại học đại học, cao đẳng sư phạm chưa khớp với số liệu thống kê từng loại chức danh, trình độ.

Cụ thể, Nhà trường thống kê có 4 Giáo sư. Tiến sĩ/Giáo sư. Tiến sĩ khoa học; 28 Phó Giáo sư.Tiến sĩ/ Phó Giáo sư.Tiến sĩ khoa học; 380 Tiến sĩ/Tiến sĩ khoa học; 696 Thạc sĩ; 73 Đại học. Như vậy, tổng số phải là 1.181 giảng viên (trong khi nhà trường thống kê tổng chỉ là 1.179 giảng viên).

Screenshot 2025-04-15 152634.png
Số giảng viên cơ hữu của Trường Đại học Trà Vinh theo thông tin tại báo cáo công khai thông tin về đội ngũ giảng viên cơ hữu năm học 2023-2024.

Để độc giả có thông tin đầy đủ về vấn đề này, ngày 05/03/2025, phóng viên Tạp chí điện tử Giáo dục Việt Nam đã gửi văn bản đến Trường Đại học Trà Vinh với một số nội dung câu hỏi liên quan như:

Vì sao nhà trường chưa đăng tải Đề án mở mã ngành đào tạo trình độ đại học ngành Bảo vệ thực vật (Mã ngành: 7620112)? Lý do vì sao năm 2023 mà nhà trường đã đóng nhiều ngành như vậy? Số liệu thống kê về đội ngũ giảng viên vì sao chưa khớp?....

Tuy nhiên, đến thời điểm hiện tại, phóng viên vẫn chưa nhận được bất kỳ phản hồi nào từ phía Trường Đại học Trà Vinh về những nội dung băn khoăn trên.

Tường San