LTS: Là một giáo viên quan tâm đến đề thi thử nghiệm lần hai cho kỳ thi trung học phổ thông quốc gia năm 2017, thầy Trần Trí Dũng chỉ ra những điểm tích cực và hạn chế của đề thi thử.
Thầy đóng góp ý kiến nhằm mong muốn Ban ra đề tham khảo để xây dựng đề thi chính thức phù hợp hơn.
Tòa soạn trân trọng gửi đến độc giả để cùng thảo luận.
Ngày 20/1/2017, Bộ Giáo dục và Đào tạo đã chính thức công bố bộ đề thi thử nghiệm 14 môn thi cho kỳ thi trung học phổ thông quốc gia năm 2017.
Ngay sau khi công bố, bộ đề thi đã nhận được những sự phản hồi tích cực từ phía dư luận quan tâm. Đây là lần thứ hai Bộ Giáo dục và Đào tạo chính thức công bố đề thi khảo sát, sau lần công bố đề thi minh họa vào ngày 5/10/2016.
Khi khảo sát bộ đề thi thử nghiệm lần này, có thể nhận thấy những dấu hiệu tích cực so với bộ đề thi minh họa lần trước.
Với đa phần các môn (trừ Ngữ văn) đều thi theo hình thức trắc nghiệm, các đề thi đã bao quát kiến thức thuộc chương trình học, tập trung chủ yếu vào lớp 12 theo đúng chủ trương của Bộ Giáo dục và Đào tạo.
Theo đó, học sinh phải thực sự nắm vững kiến thức thì mới có thể làm được được bài thi. Đặc biệt, ở đề thi môn Toán đã có những câu hỏi đề cập từ thực tiễn, thể hiện sự thiết thực ứng dụng đối với học sinh.
Việc bao quát kiến thức nằm trong chương trình học của bộ đề thi đã góp phần khắc phục tình trạng học “tủ”, học lệch trong quá trình học tập, cũng như trong quá trình ôn tập chuẩn bị cho kỳ thi của học sinh, giúp giáo viên và học sinh tập rượt, làm quen với định dạng câu hỏi để tiếp tục giảng dạy, ôn luyện chuẩn bị cho kỳ thi.
Theo đó, cơ cấu đề thi đã có sự phân hóa rõ nét nhằm đảm bảo yêu cầu 2 trong 1 đối với kỳ thi trung học phổ thông quốc gia.
Cùng với các câu hỏi kiểm tra kiến thức và kĩ năng lí thuyết, đã có những câu hỏi nhằm mục đích kiểm tra năng lực vận dụng liên kết các kiến thức và kĩ năng lí thuyết với nhau vào việc giải quyết các vấn đề và các tình huống cụ thể không đơn giản.
Điều này có thể góp phần khắc phục tính hàn lâm, khô cứng trong việc giảng dạy và học tập trong nhà trường phổ thông, giúp việc giảng dạy và học tập trong nhà trường phổ thông trở nên sinh động hơn và thiết thực hơn.
Tuy nhiên, đây là bộ đề thi thử nghiệm để học sinh làm quen và đánh giá khả năng của mình, do đó đề thi phải đảm bảo những yêu cầu nhất định như một đề thi thật.
Nhưng ở bộ đề thi này vẫn có những vấn đề chưa đảm bảo yêu cầu về mặt khoa học đối với những đề thi theo hình thức trắc nghiệm.
Theo đó, theo truyền thống, đã là một đề thi thì các câu hỏi phải xác định các yêu cầu cụ thể.
Đối với đề thi trắc nghiệm, học sinh chỉ chọn đáp án đúng trong số các đáp án đã cho ở đề thi, nhưng đề thi thử nghiệm môn Toán lại chưa thể hiện đúng yêu cầu này.
Với một số câu hỏi tại đề thi thử nghiệm lần này, thí sinh sẽ phải tính toán và trình bày cụ thể cách tính của mình, do đó đây không phải là kiểu câu hỏi theo hình thức trắc nghiệm.
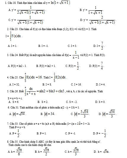
Cụ thể, có thể dẫn ra đây một số câu hỏi như sau:
![]() |
| Thầy Trần Trí Dũng chỉ ra một số câu hỏi trong đề thi thử nghiệm môn Toán khiến học sinh phải tính toán, trình bày cách tính cụ thể của mình. |
![]() |
| Thêm một vài ví dụ về đề thi thử nghiệm môn Toán còn hạn chế. |
![]() |
| Bên cạnh đó, thầy Dũng phân tích, ở câu 49 của đề thi môn Toán, đề bài đã yêu cầu thí sinh phải viết phương trình cụ thể, do đó đây cũng không phải là một câu hỏi thi theo hình thức trắc nghiệm. |
Mặt khác, khi khảo sát đề thi của các môn khoa học xã hội, đề bài đã không được được rõ ý của câu hỏi, do đó sẽ gây lúng túng chi thí sinh khi làm bài. Cụ thể, ở đề thi môn Lịch sử:
1. Câu 2. Ngày 24-10-1945, sau khi Quốc hội các nước thành viên phê chuẩn, bản Hiến chương của Liên hợp quốc
A. được bổ sung, hoàn chỉnh. B. chính thức được công bố.
C. chính thức có hiệu lực. D. được chính thức thông qua.
2. Câu 3. Những năm đầu sau khi Liên Xô tan rã, Liên bang Nga thực hiện chính sách đối ngoại ngả về phương Tây với hi vọng
A. thành lập một liên minh chính trị ở châu Âu.
B. xây dựng một liên minh kinh tế lớn ở châu Âu.
C. nhận được sự ủng hộ về chính trị và sự viện trợ về kinh tế.
D. tăng cường hợp tác khoa học-kĩ thuật với các nước châu Âu.
3. Câu 4. Tại Quốc hội Mĩ (12-3-1947), Tổng thống Truman đề nghị
A. thành lập Tổ chức Hiệp ước Bắc Đại Tây Dương (NATO).
B. giúp đỡ nước Pháp kéo dài cuộc chiến tranh Đông Dương.
C. thực hiện Kế hoạch Mácsan, giúp Tây Âu phục hồi kinh tế.
D. viện trợ khẩn cấp 400 triệu USD cho Hi Lạp và Thổ Nhĩ Kì.
4. Câu 5. Sau khi giành được độc lập, nhóm năm nước sáng lập ASEAN thực hiện chiến lược kinh tế hướng nội với mục tiêu
A. khôi phục sự phát triển của các ngành công nghiệp nặng ở các nước.
B. nhanh chóng xóa bỏ nghèo nàn, lạc hậu, xây dựng nền kinh tế tự chủ.
C. nhanh chóng vươn lên trở thành những nước công nghiệp mới (NICs).
D. thúc đẩy tốc độ tăng trưởng của các ngành công nghiệp nhẹ trong nước.
5. Câu 6. Ngoài việc giúp các nước Tây Âu phục hồi nền kinh tế, Kế hoạch Mácsan của Mĩ (1947) còn nhằm tập hợp các nước Tây Âu vào
A. liên minh kinh tế đối lập với các nước xã hội chủ nghĩa.
B. liên minh quân sự chống Liên Xô và các nước Đông Âu.
C. liên minh chính trị chống Liên Xô và các nước Đông Âu.
D. tổ chức chính trị-quân sự chống lại phe xã hội chủ nghĩa.
6. Câu 7. Tháng 12-1989, những người đứng đầu hai nước Mĩ và Liên Xô chính thức cùng tuyên bố
A. bình thường hóa quan hệ. B. chấm dứt Chiến tranh lạnh.
C. không phổ biến vũ khí hạt nhân. D. cắt giảm vũ khí chiến lược.
7. Câu 10. Cương lĩnh chính trị đầu tiên của Đảng Cộng sản Việt Nam (đầu năm 1930) đề ra nhiệm vụ lập chính phủ
A. nhân dân. B. công nông. C. công nông binh. D. dân chủ cộng hòa.
8. Câu 14. Từ sau ngày 2-9-1945 đến trước ngày 6-3-1946, Đảng, Chính phủ và Chủ tịch Hồ Chí Minh chủ trương
A. hòa hoãn, nhân nhượng với thực dân Pháp và Trung Hoa Dân quốc.
B. đấu tranh vũ trang chống quân Trung Hoa Dân quốc và quân Pháp.
C. hòa hoãn với quân Trung Hoa Dân quốc và kháng chiến chống Pháp.
D. đấu tranh vũ trang với quân Trung Hoa Dân quốc và hòa với Pháp.
9. Câu 15. “Hỡi đồng bào toàn quốc. Chúng ta muốn hòa bình, chúng ta phải nhân nhượng. Nhưng chúng ta càng nhân nhượng, thực dân Pháp càng lấn tới, vì chúng quyết tâm cướp nước ta lần nữa!” là nội dung mở đầu của
A. Tuyên ngôn Độc lập của nước Việt Nam Dân chủ Cộng hòa (1945).
B. Lời kêu gọi toàn quốc kháng chiến (1946).
C. Báo cáo Bàn về cách mạng Việt Nam (1951).
D. Báo cáo chính trị tại Đại hội lần thứ II của Đảng (1951).
10. Câu 19. Nha Bình dân học vụ được thành lập theo Sắc lệnh của Chủ tịch Hồ Chí Minh (8-9-1945) là cơ quan chuyên trách về
A. xóa nạn mù chữ. B. bổ túc văn hóa.
C. chống nạn thất học. D. giáo dục phổ thông
11. Câu 21. Để góp phần xây dựng hậu phương trong cuộc kháng chiến chống thực dân Pháp, năm 1952, Chính phủ nước Việt Nam Dân chủ Cộng hòa
A. quyết định phát động phong trào toàn dân xóa nạn mù chữ.
B. mở cuộc vận động lao động sản xuất và thực hành tiết kiệm.
C. họp Hội nghị thành lập Liên minh nhân dân Việt - Miên - Lào.
D. chủ trương thành lập Mặt trận Liên hiệp quốc dân Việt Nam.
Như thế, khi gặp những câu hỏi này, thí sinh sẽ rất lúng túng vì không biết được ý của câu hỏi ở đây là gì, do đó đây là những câu hỏi không phù hợp về mặt khoa học.
Vấn đề cũng xảy ra tương tự đối đề thi môn Địa lý và Giáo dục công dân.
Do đó, để tránh thiệt thòi, gây lúng túng và hoang mang cho thí sinh, khi thiết kế đề thi thật, Ban ra đề thi của Bộ Giáo dục và Đào tạo cần lưu ý vấn đề này.
Ngoài ra, theo phương án thi đã chính thức được thông qua, mùa thi năm 2017 sẽ có các bài thi tổ hợp của các môn Khoa học tự nhiên và Khoa học xã hội.
Tuy nhiên, trong bộ đề thi thử nghiệm lần này thì lại không có các đề thi tổ hợp này.
Do đó, học sinh đã không được làm quen để tập rượt và định hướng kế hoạch học tập và Bộ Giáo dục và Đào tạo cũng không khảo sát được năng lực theo yêu cầu đặt ra đối với học sinh.
Vì thế, đây là một hạn chế và khiếm khuyết trong lần ra đề thử nghiệm lần này.
Thiết nghĩ, đã là đề thi thử nghiệm cho học sinh trước một kỳ thi lớn thì đề thi phải đạt độ chuẩn hóa cao, đặc biệt là về mặt khoa học. Song bộ đề thi lần này của Bộ Giáo dục và Đào tạo vẫn chưa đạt được những yêu cầu này.
Mong rằng với đề thi chính thức sau này, Ban ra đề sẽ khắc phục được những hạn chế và khiếm khuyết, để xứng đáng là những đề thi cho một kỳ thi trung học phổ thông ở tầm quốc gia.



