Sáng nay (19/06/2022), gần 107.000 sĩ tử của Hà Nội đã hoàn thành bài thi vào lớp 10 môn Toán. Đây là môn thi cuối cùng vào lớp 10 Trung học phổ thông không chuyên với thời gian làm bài 120 phút.
Đề thi môn Toán vào lớp 10 của Hà Nội năm 2022 như sau:
![]() |
| Đề thi môn Toán vào lớp 10 của Hà Nội năm 2022. (Ảnh: Kim Minh Châu) |
Dưới đây là gợi ý đáp án một số mã đề thi Toán từ ban chuyên môn Tuyensinh247.com:
![]() |
![]() |
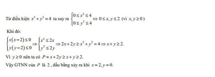
![]() |
![]() |
Kim Minh Châu





