Năm 2023, Đại học Quốc gia Hà Nội dành 14.945 chỉ tiêu tuyển sinh đại học chính quy. Theo thông tin từ Ban Chỉ đạo tuyển sinh đại học chính quy năm 2023 của Đại học Quốc gia Hà Nội, các phương thức tuyển sinh về cơ bản vẫn giữ ổn định như năm 2022.
| STT | Đơn vị thành viên | Chỉ tiêu tuyển sinh năm 2023 |
| 1 | Trường Đại học Công nghệ | 1850 |
| 2 | Trường Đại học Khoa học tự nhiên | 1800 |
| 3 | Trường Đại học Khoa học xã hội và nhân văn | 2000 |
| 4 | Trường Đại học Ngoại ngữ | 1650 |
| 5 | Trường Đại học Kinh tế | 2020 |
| 6 | Trường Đại học Giáo dục | 1100 |
| 7 | Trường Đại học Việt Nhật | 450 |
| 8 | Trường Đại học Y dược | 600 |
| 9 | Trường Đại học Luật | 945 |
| 10 | Trường Quốc tế | 1400 |
| 11 | Trường Quản trị và Kinh doanh | 380 |
| 12 | Khoa Các Khoa học liên ngành | 750 |
| Tổng chỉ tiêu | 14945 | |
Cụ thể, 04 phương thức tuyển sinh chính gồm:
(1) Xét tuyển thẳng, ưu tiên xét tuyển theo Quy chế tuyển sinh của Bộ Giáo dục và Đào tạo, Quy định đặc thù của Đại học Quốc gia Hà Nội và các quy định liên quan của Đại học Quốc gia Hà Nội.
(2) Thí sinh sử dụng kết quả kỳ thi tốt nghiệp trung học phổ thông năm 2023 đạt ngưỡng đảm bảo chất lượng đầu vào do Đại học Quốc gia Hà Nội quy định
(3) Kết quả thi Đánh giá năng lực: Xét tuyển thí sinh sử dụng kết quả kỳ thi Đánh giá năng lực do Đại học Quốc gia Hà Nội tổ chức đạt tối thiểu 80/150 điểm trở lên
(4) Xét tuyển theo phương thức khác gồm:
Các chứng chỉ quốc tế (SAT, A-Level, ACT, IELTS hoặc các chứng chỉ ngoại ngữ tương đương);
Thí sinh có chứng chỉ tiếng Anh IELTS từ 5.5 trở lên hoặc các chứng chỉ quốc tế tương đương. Xét tuyển kèm điều kiện về điểm trung bình chung học tập bậc trung học phổ thông và tổng điểm 2 môn còn lại trong tổ hợp xét tuyển tương ứng;
Thí sinh có kết quả thi Đánh giá năng lực của Đại học quốc gia thành phố Hồ Chí Minh đạt tối thiểu 750/1200 điểm trở lên.
Các chứng chỉ quốc tế, chứng chỉ tiếng Anh VSTEP, Đánh giá năng lực phải còn hạn sử dụng tính đến ngày thí sinh đăng kí xét tuyển (thời hạn sử dụng 02 năm kể từ ngày dự thi).
Hiện nay Đại học Quốc gia Hà Nội đang đào tạo 43.570 sinh viên theo hệ đại học chính quy, 6.500 học viên bậc Thạc sĩ và 925 nghiên cứu sinh Tiến sĩ.
Ngoài ra, năm nay, Đại học Quốc gia Hà Nội tiếp tục mở mới một số chương trình đào tạo đáp ứng nhu cầu nhân lực của thị trường lao động.
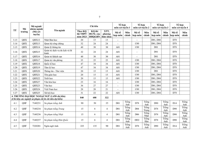
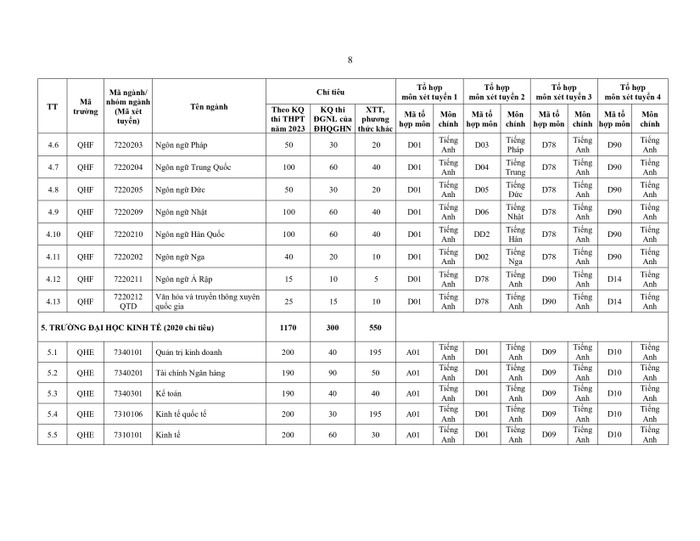
Theo dõi chi tiết chỉ tiêu theo Ngành/Nhóm ngành theo từng phương thức tuyển sinh, tổ hợp môn xét tuyển tại đây:
![]() |
![]() |
![]() |
![]() |
![]() |
![]() |
![]() |
![]() |
![]() |
![]() |









