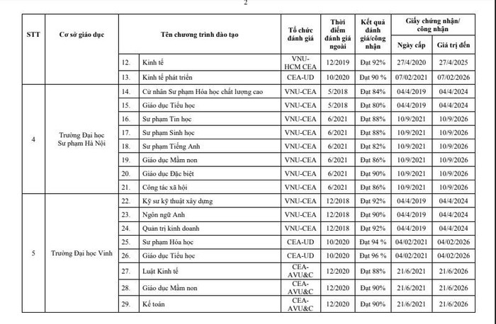
Theo đó, tính đến hết ngày 30/4, đã có 641 chương trình đào tạo hoàn thành báo cáo tự đánh giá; 529 chương trình đào tạo được đánh giá ngoài; 410 chương trình đào tạo được công nhận đạt tiêu chuẩn chất lượng bởi các tổ chức kiểm định chất lượng giáo dục trong nước; 242 chương trình đánh giá và được công nhận theo tiêu chuẩn nước ngoài.
Đặc biệt, 242 chương trình được công nhận đạt tiêu chuẩn nước ngoài thuộc 43 cơ sở giáo dục đào tạo. Trong số này, các trường đại học thành viên của Đại học Quốc gia Hà Nội, Đại học Quốc gia Thành phố Hồ Chí Minh, Đại học Đà Nẵng có số lượng chương trình được công nhận nhiều nhất.
Kế đến là các cơ sở giáo dục đại học như Trường Đại học Bách khoa Hà Nội, Trường Đại học Công nghiệp Thành phố Hồ Chí Minh, Trường Đại học Ngoại thương, Trường Đại học Sư phạm Kỹ thuật Thành phố Hồ Chí Minh, Trường Đại học Trà Vinh, Trường Đại học Cần Thơ, Trường Đại học Hoa Sen,…
![]() |
![]() |
![]() |
![]() |
![]() |
| Danh sách các chương trình đào tạo được kiểm định. Nguồn: Bộ Giáo dục và Đào tạo. |
Xem chi tiết các chương trình đào tạo được kiểm định TẠI ĐÂY.




