Sở Giáo dục và Đào tạo tỉnh Tây Ninh vừa công bố kết quả điểm phúc khảo, của kỳ thi trung học phổ thông quốc gia năm 2019.
Theo kết quả này, em Lê Quang Kỳ, học sinh của Trường trung học phổ thông chuyên Hoàng Lê Kha có ba môn Sinh, Lý, Hóa thuộc tổ hợp Khoa học Tự nhiên kết quả lần đầu đều bị 0 điểm.
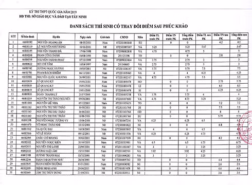
![]() |
| Trích kết quả chấm phúc khảo kỳ thi trung học phổ thông quốc gia tại tỉnh Tây Ninh (ảnh: CTV) |
Sau đó, Kỳ đã làm đơn xin phúc khảo cả ba môn này. Kết quả chấm phúc khảo, Kỳ được Sinh (6,25 điểm), Lý (8,5 điểm) và Hóa là 5,75 điểm.
Cả 3 môn sau phúc khảo của Kỳ cộng lại được 20,5 điểm.
Như vậy, Kỳ có tổng điểm ba môn tổ hợp của khối A1 (Toán, Lý, Anh) là 26,1 điểm.
| Sau phúc khảo, thí sinh của Tây Ninh được tăng từ 0 lên 8,75 điểm |
Đây có thể được coi là trường hợp hy hữu của mùa thi năm nay, khi ban đầu, Kỳ là thí sinh duy nhất của Trường chuyên Hoàng Lê Kha rớt tốt nghiệp.
Tuy nhiên, sau khi có kết quả phúc khảo, em lại thành thí sinh đậu tốt nghiệp như bao học sinh khác.
Năm 2018, Lê Quang Kỳ là học sinh đạt giải khuyến khích của Kỳ thi học sinh giỏi cấp quốc gia, môn Tin học.
Em được xét tuyển thẳng vào Trường Đại học FPT, nên chỉ cần chờ kết quả thi quốc gia, tốt nghiệp là nhập học.
