LTS: Giáo sư Nguyễn Tiến Dũng - nguyên Viện trưởng Viện Toán lý thuyết - Viện Toán học Toulouse - Cộng hòa Pháp, Giáo sư Đại Học Toulouse tiếp tục chỉ ra những bất cập trong sách giáo khoa Toán lớp 6 (tác giả gọi tắt là SGK6).
Theo tác giả, sách giáo khoa Toán 6 song ngữ hiện nay sai rất nhiều, nhất là lỗi chuyển ngữ.
Tòa soạn trân trọng gửi đến độc giả bài viết!
(bài cuối)
7. Đã qua rồi thời “máy tính bỏ túi”
Ngay ở Pháp, học sinh đi học vẫn hay được yêu cầu sắm một chiếu “máy tính bỏ túi” (kiểu như Casio hay Texas Instruments, với một số hàm nào đó).
Tuy nhiên, chúng ta cần nhận thấy rằng, cái thời của máy tính bỏ túi chỉ dùng để tính cộng trừ nhân chia và một số hàm toán học, đã qua rồi. Thay vào đó là điện thoại hay máy tính bảng vạn năng.
Ngoài chức năng điện thoại, xem internet, v.v., chúng còn có thể tính toán và vẽ đồ thị tốt hơn nhiều so với máy tính bỏ túi.
Giáo sư Viện Toán học Toulouse: Sách giáo khoa Toán đang có nhiều bất hợp lý |
Chỉ có những người đứng bán hàng là còn hay dùng loại máy tính với các chức năng như máy tính bỏ túi, còn nhân viên kế toán cũng phải làm việc trên phần mềm tính toán phức tạp hơn.
Việc hướng dẫn học sinh sử dụng công cụ máy tính trong toán học là tốt, nhưng việc đó cần hướng tới hiện đại, những cái mà học sinh sẽ dùng trong tương lai, chứ không phải hướng tới dùng những cái đã thành lỗi thời.
Bởi vậy, những bài học trong SGK6 dạy học sinh bấm nút này nút nọ trên máy tính bỏ túi để làm phép tính là không hợp thời, vừa tốn chỗ, tốn thời gian vừa làm chậm sự tiến bộ.
Thay vào đó, giáo viên chỉ cần nói rằng viết một công thức đúng cú pháp vào bất kỳ một phần mềm tính toán nào đó (dùng là trên điện thoại, máy tính bảng, hay ngay trong internet browser, v.v.) thì nó sẽ cho ta kết quả, và yêu cầu học sinh thử nghiệm nguyên tắc chung đó với nhiều loại máy khác nhau.
Điều cần nhớ đối với học sinh không phải là các mẹo sử dụng máy tính bỏ túi, mà là nguyên tắc viết biểu thức cho đúng cú pháp.
8. Cần chú trọng bản chất thay vì phù phiếm
Ngoài chương trình bình thường, Bộ Giáo dục và Đào tạo còn có một chương trình thử nghiệm ở phạm vi khá rộng, gọi là chương trình VNEN (“trường học mới”), tiêu tốn hàng nghìn tỉ đồng.
| Phản biện tư tưởng không thi cử, không thi đua trong giáo dục của GS Hồ Ngọc Đại |
Sự khác nhau của sách VNEN và sách “bình thường” là gì?
Về bản chất nội dung, thực ra chẳng có gì khác nhau.
Chỉ khác ở chỗ sách VNEN trình bày diêm dúa hơn, chia mỗi bài thành "các hoạt động" theo một trình tự cứng nhắc.
Học sinh và giáo viên có được lợi gì không khi phải làm “các hoạt động” theo đúng trình tự cứng nhắc đó? Cuối cùng thì được những kỹ năng gì?
Đâu có phải là không chia bài thành “các hoạt động” thì học sinh và giáo viên không thực hiện các hoạt động khi dạy và học đâu.
Việc chia thành hoạt động bắt buộc phải đúng trình tự này nào chỉ tạo thêm một tầng giáo điều cứng nhắc, khiến cho giáo viên khó dạy hơn, học sinh khó học hơn, tốn kém tiền của sức lực hơn mà hiệu quả không hơn gì.
Nói về các kỹ năng mà học sinh có được nhờ học toán thì nhiều, có cả một danh sách dài.
Nhưng cơ bản nhất vẫn là biết suy luận lô gíc, hiểu bản chất các khái niệm và công cụ toán học và dùng được chúng để giải quyết các vấn đề trong khoa học và đời sống.
Hình thức cũng quan trọng, nhưng nếu sách không dạy được những điều cơ bản trên thì mọi từ ngữ hình thức hoa mĩ là phù phiếm.
![]() |
| Sách giáo khoa Toán lớp 6. |
Một trong những điều mà sách giáo khoa cần chú ý, đó là cần trình bày ngắn gọn súc tích (concise), thay vì rườm rà.
Rườm rà thì vừa lãng phí giấy mực tiền của vừa bắt tội học sinh đeo cặp nặng, mà có khi lại làm cho mọi thứ tù mù đi.
Sách VNEN là ví dụ của sự rườm rà, lặp đi lặp lại nhiều thứ không cần thiết.
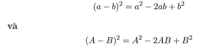
Một biểu hiện khác của sự rườm ra, mà có thể gây hoang mang cho học sinh, là những công thức được viết đi viết lại hai lần trong các sách (lớp 8, lớp 9), cứ như rằng chúng là những công thức khác nhau phải học thuộc lòng cả hai, ví dụ như:
![]() |
| Công thức được viết gần nhau, lặp lại, mang tính rườm rà. |
(viết ngay gần nhau; nếu là viết ở chỗ cách xa nào đó để nhắc lại thì lại là chuyện khác).
9. Sách dịch sai càng hại học sinh
Bộ Giáo dục và Đào tạo có làm cả SGK6 phiên bản song ngữ Anh - Việt, với nội dung tiếng Việt hệt như SGK6 bình thường, chỉ khác ở chỗ có phần tiếng Anh.
SGK6 song ngữ Anh-Việt vì vậy có tất cả các điểm dở của SGK6, cộng thêm những điểm sai về mặt dịch thuật. Mà dịch sai rất nhiều.
Những người dịch có lẽ chưa thạo tiếng Anh nói chung và tiếng Anh trong toán học nói riêng, dịch theo kiểu dịch từng từ rồi chắp ghép vào nhau chứ không theo cách hành văn của người Anh-Mỹ.
Đơn cử một câu ví dụ, ngay từ trang nội dung đầu tiên của Chương 1 của SGK6 song ngữ Anh-Việt tập 1:
![]() |
| Lỗi dịch sai tiếng Anh trong sách Toán song ngữ. |
Trong một câu đó mà đã nhiều lỗi sai về từ vựng và ngữ pháp:
- “Khái niệm tập hợp” trong tiếng Anh thông dụng gọi là “notion of sets” hay “concept of sets” chứ người ta không gọi là “conception of sets”, dù cho từ điển Anh-Việt có dịch từ “conception” là “khái niệm”.
(Đấy cũng là một điều nguy hiểm khi dịch theo từ điển mà không tra lại xem người ta dùng các từ trong từng tình huống ra sao).
Từ “‘conception” hay được dùng với nghĩa “tạo thành” hay “thai nghén”.
Trong toán học, khi nói “conception of sets” thì nó có nghĩa là “xây dựng tập hợp”, chẳng hạn “iterative conception of sets” thì là xây dựng tập hợp theo phép lặp (ví dụ như tập Cantor).
Ngoài ra, các danh từ chung tiếng Anh hay đi kèm với tiếp đầu ngữ (the concept, a concept) mà trong câu dịch phía trên bị thiếu.
- Khi nói “thường gặp” trong câu tiếng Việt phía trên, thì chữ thường đó có nghĩa tiếng Anh là “often” thay vì “usually”.
Từ “usually” cũng là “thường”, nhưng với hàm ý bao trùm (thường là thế này chứ không thế khác).
Ví dụ, nói “An thường được điểm cao” (chứ không bị điểm thấp) thì chữ thường đó 15 là “usually”, còn nói “An đá bóng thường xuyên” (hay chơi đá bóng) thì chữ thường đó là “often”.
- Từ “even” trong câu dịch tiếng Anh là thừa, và nó làm thay đổi sắc thái của câu. Nếu dịch ngược lại sang tiếng Việt thì thành “thậm chí cả trong cuộc sống” (thừa từ “thậm chí”).
- Từ “đời sống” trong câu tiếng Việt thì người ta thường gọi là “real life” chứ không chỉ cộc lốc mỗi từ “life”.
Thật nguy hiểm khi học sinh học theo thứ tiếng Anh lủng củng như trong SGK6 song ngữ, sẽ thành “nói ngọng”, về sau sửa lại rất khó.
Vấn đề dịch thuật là một vấn đề nan giải ở Việt Nam. Phần lớn sách dịch từ tiếng nước ngoài ra tiếng Việt hiện tại đầy rẫy lỗi sai, hiểu ngược ý tác giả, do người dịch chưa thực sự nắm vững tiếng nước ngoài và thiếu hiểu biết về văn hoá chung của nước ngoài.
Việc dịch ngược lại từ tiếng Việt sang tiếng Anh tất nhiên còn khó hơn là dịch xuôi từ tiếng Anh sang tiếng Việt, càng dễ sai nếu không làm thật cẩn thận, chọn người có trình độ thật cao, đầu tư thật thích đáng.
Ý tưởng làm sách song ngữ là tốt, nhưng nó chỉ thật sự trở thành tốt nếu cả phần tiếng Việt và phần tiếng Anh tương ứng đều tốt, chứ phần tiếng Việt đã dở phần tiếng Anh lại càng dở thì chỉ làm hại học sinh.






