Đề thi chính thức môn Toán
![]() |
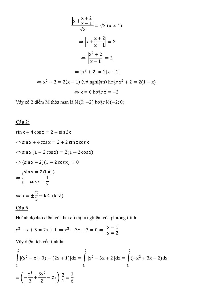
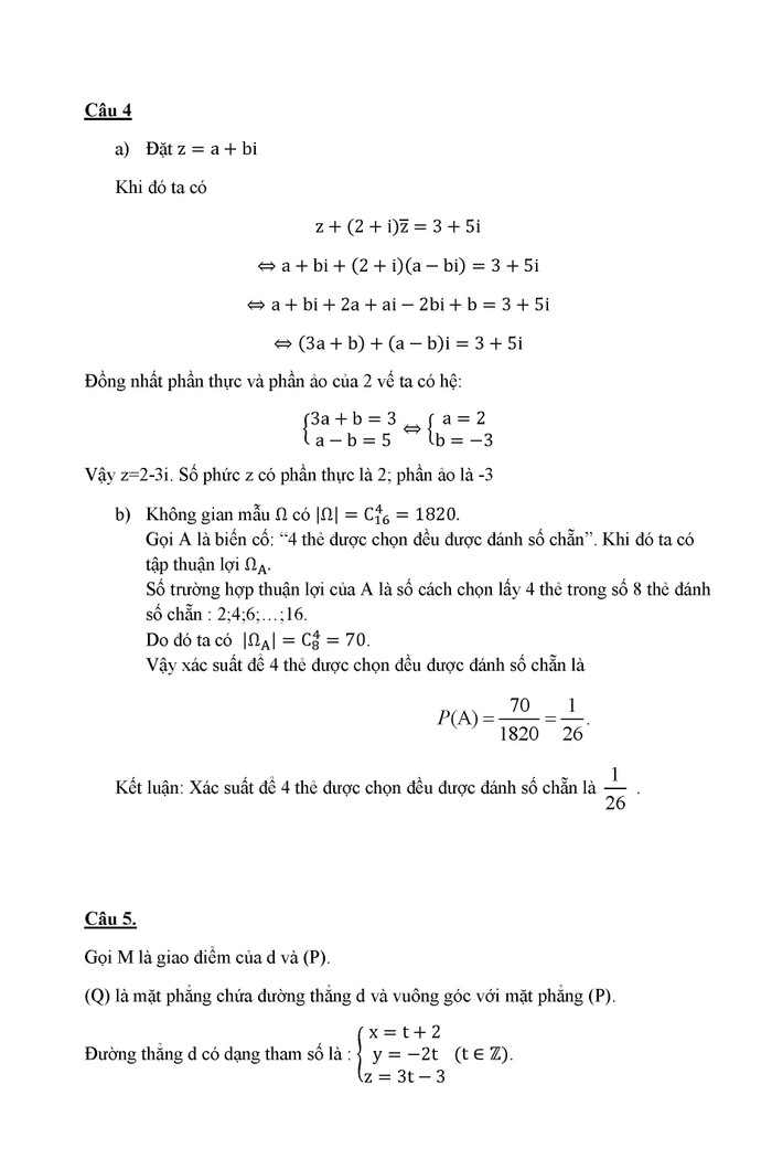
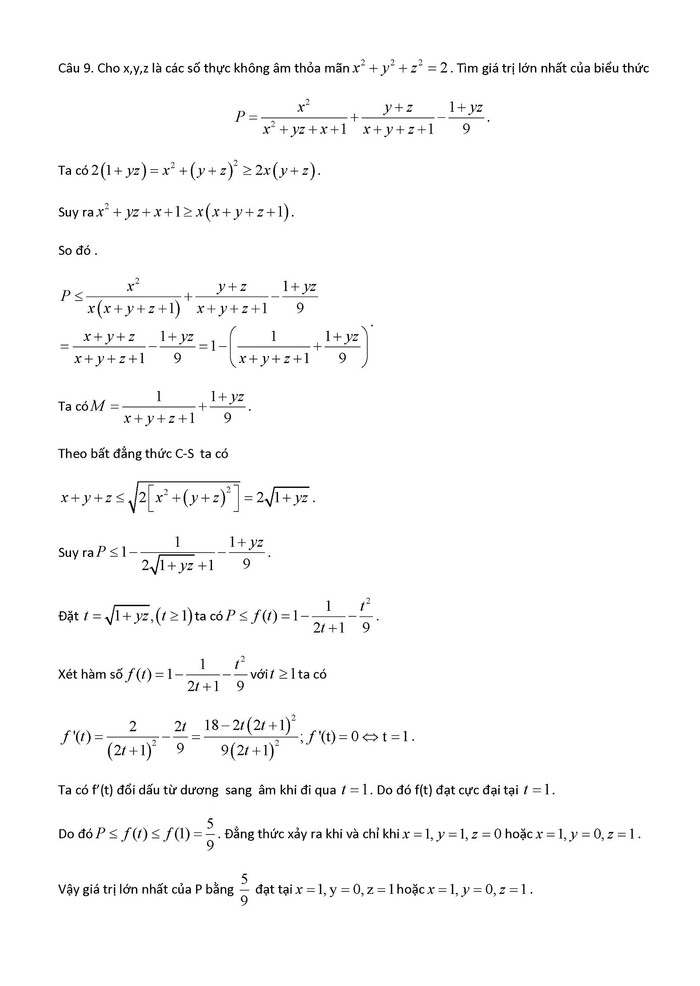
Gợi ý lời giải:
![]() |
![]() |
![]() |
![]() |
![]() |
![]() |
![]() |
![]() |
Gợi ý đáp án, lời giải mang tính tham khảo và được thực hiện bởi các thầy cô thuộc Trung tâm nghiên cứu và phát triển giáo dục Việt Nam.
GDVN
Đề thi chính thức môn Toán
![]() |
Gợi ý lời giải:
![]() |
![]() |
![]() |
![]() |
![]() |
![]() |
![]() |
![]() |
Gợi ý đáp án, lời giải mang tính tham khảo và được thực hiện bởi các thầy cô thuộc Trung tâm nghiên cứu và phát triển giáo dục Việt Nam.








