Từ ngày 01/7/2019, mức lương cơ sở được điều chỉnh tăng thêm 100.000 đồng/tháng nên tiền lương của giáo viên cũng được điều chỉnh tăng theo cho phù hợp với Nghị định 38/2019/NĐ-CP của Chính phủ.
Theo đó, tiền lương của giáo viên, giảng viên từ tháng 7/2019 tăng thêm từ 165.000 đồng/tháng tùy vào từng đối tượng.
Bên cạnh đó, giáo viên được hưởng phụ cấp ưu đãi, thâm niên, phụ cấp chức vụ,…nên thu nhập tăng lên nên có giáo viên tăng hơn 1.000.000 đồng/tháng.
![]() |
| Từ ngày 01/7/2019, mức lương cơ sở được điều chỉnh (Ảnh minh họa: vtv.vn). |
Trong bài viết trước, tôi đã nêu chi tiết mức lương thực nhận của giáo viên khi tăng lương từ 01/7 của giáo viên ở hạng thấp nhất của giáo viên mầm non, tiểu học, trung học cơ sở, trung học phổ thông.
Hôm nay, tôi tiếp tục chia sẻ bài viết về mức lương hưởng, chênh lệch lương so với mức lương cũ của tất cả cấp học, bậc học từ mầm non đến trung học phổ thông.
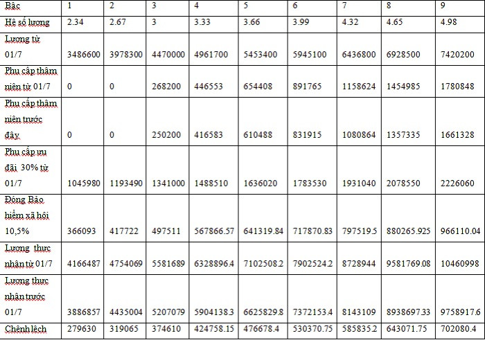
Mức lương giáo viên mầm non hạng IV (mã số V.07.02.06), tiểu học hạng IV (mã số 07.03.09)
![]() |
Mức lương giáo viên trung học cơ sở hạng III (mã số V.07.04.12), giáo viên mầm non hạng III (mã số V.07.02.05), tiểu học hạng III (mã số 07.03.08)
![]() |
Mức lương giáo viên trung học phổ thông hạng IV (mã số V.07.05.15), trung học cơ sở hạng II (mã số V.07.04.11), giáo viên mầm non hạng II (mã số V.07.02.04), tiểu học hạng II (mã số 07.03.07)
![]() |
Mức lương giáo viên trung học phổ thông hạng II (mã số V.07.05.14), trung học cơ sở hạng I (mã số V.07.04.10)
![]() |
Mức lương giáo viên trung học phổ thông hạng I (mã số V.07.05.13)
![]() |
Bảng lương trên có tính chất tham khảo, còn tùy thuộc thời gian giữ ngạch, thời gian chuyển ngạch, nâng lương và phụ cấp thâm niên hiện hưởng.





