Hiện một số trường Đại học đào tạo khối ngành Nông Lâm, Thủy sản đã công bố điểm chuẩn năm 2023.
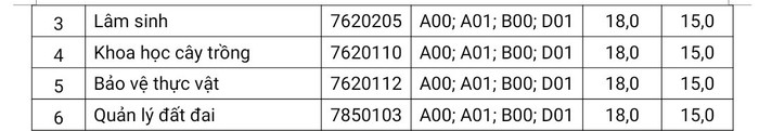
Trường Đại học Lâm nghiệp, đối với phương thức kết quả thi tốt nghiệp trung học phổ thông, điểm chuẩn của hầu hết các ngành là 15 điểm. Riêng ngành Thú y tại Phân hiệu tỉnh Đồng Nai có điểm chuẩn là 16 điểm, cụ thể như sau:
![]() |
![]() |
| Điểm chuẩn tuyển sinh các ngành đào tạo đại học chính quy tại Cơ sở chính - Hà Nội. |
![]() |
| Điểm chuẩn tuyển sinh các ngành đào tạo đại học chính quy tại Phân hiệu tỉnh Đồng Nai. |
![]() |
![]() |
| Điểm chuẩn tuyển sinh các ngành đào tạo đại học chính quy tại Phân hiệu tỉnh Gia Lai. |
Học viện Nông nghiệp Việt Nam, điểm chuẩn ngành cao nhất là Logistics và quản lý chuỗi cung ứng với 24,5 điểm. Ngành Khoa học môi trường có điểm chuẩn thấp nhất là 16,5 điểm. Nhóm ngành Nông nghiệp sinh thái và Nông nghiệp đô thị; Chăn nuôi thú ý - Thủy sản đều có điểm chuẩn là 17 điểm. Cụ thể như sau:
![]() |
Trường Đại học Nông Lâm - Đại học Huế, điểm chuẩn các ngành dao động từ 15 - 18 điểm. Ngành Thú y có điểm chuẩn cao nhất là 18 điểm. Các ngành: Công nghệ thực phẩm, Chăn nuôi có điểm chuẩn là 16 điểm, cụ thể như sau:
![]() |
| Điểm chuẩn các ngành Trường Đại học Nông lâm - Đại học Huế. |






