16 giờ chiều 9/8 hoàn thành bài thi môn Toán trong kỳ thi tốt nghiệp, nhiều thí sinh chia sẻ với Tạp chí điện tử Giáo dục Việt Nam rằng, đề thi dễ, vừa sức, bám sát đề thi minh họa lần 2 mà Bộ giáo dục và Đào tạo đã công bố trước đó.
Tòa soạn trân trọng gửi tới độc giả đề thi môn Toán, mã đề 111:
![]() |
![]() |
![]() |
![]() |
![]() |
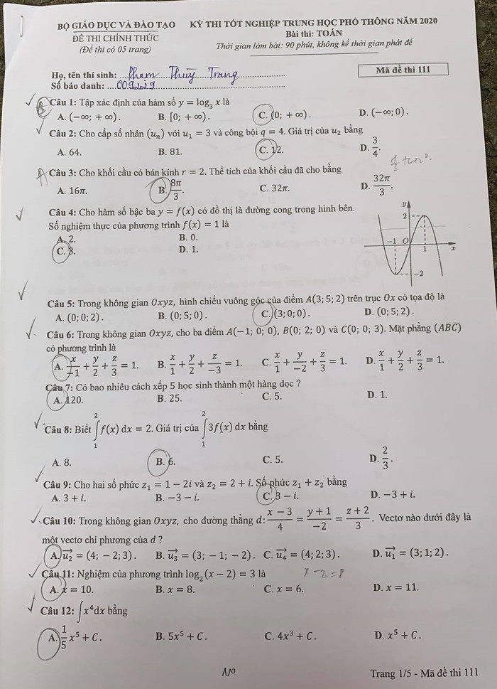
| Đề thi môn Toán trong kỳ thi tốt nghiệp trung học phổ thông năm 2020 (ảnh: Thùy Linh) |
Trước đó đúng 14 giờ 30, hơn 860.000 thí sinh trong cả nước bắt đầu làm bài thi môn toán kỳ thi tốt nghiệp trung học phổ thông năm 2020. Thí sinh làm bài thi môn toán trong thời gian 90 phút.
Sau khi thi xong môn thi ngữ văn buổi sáng, nhiều thí sinh cho biết, đề thi ngữ văn năm nay nhẹ nhàng, vừa sức nên phần nào giảm áp lực, lo lắng cho buổi thi môn toán.
Thùy Linh




