Ngày 12/11/2019 với 93,37% đại biểu tán thành, Quốc hội vừa biểu quyết thông qua Nghị quyết về dự toán ngân sách nhà nước năm 2020, trong đó có việc tăng lương cơ sở lên mức 1,6 triệu đồng/tháng, điều chỉnh lương hưu, trợ cấp bảo hiểm xã hội, trợ cấp hàng tháng từ ngày 01/7/2020.
Như vậy, việc tăng lương cơ sở cho cán bộ, công chức, viên chức đã được thông qua, thu nhập của cán bộ, công chức từ 01/7/2020 sẽ tăng lên đáng kể, có thể nói đây là đợt tăng cao nhất trong những năm gần đây, tiến tới trả lương theo vị trí việc làm từ 01/01/2021, đây thật sự là sự cố gắng rất lớn của Chính phủ.
![]() |
| Tăng lương giáo viên sẽ giúp các thầy cô ổn định đời sống (Ảnh minh họa: baovinhphuc.com.vn). |
Cùng với đó, thời điểm 01/7/2020, đối với lĩnh vực giáo dục là thời điểm vô cùng quan trọng đó là khi đó Luật giáo dục mới chính thức có hiệu lực.
Luật Giáo dục mới trong đó có điều khoản quan trọng là tiền lương của giáo viên sẽ không còn phụ cấp thâm niên và một số khoản phụ cấp, trợ cấp khác cũng không còn.
Không có bảng lương riêng cho nhà giáo, chưa thể trả lương theo vị trí việc làm từ 01/7/2020 nên khi đó lương giáo viên có thể sẽ giảm.
Dựa trên hệ số lương mới, dựa trên Luật Giáo dục mới có hiệu lực từ 01/7/2020, tôi xin nêu bảng lương tham khảo cho giáo viên đến thời điểm trên, dự kiến khi đó phụ cấp ưu đãi cho giáo viên ở mức cao nhất cũng chỉ 30% (hiện nay từ mức 25 – 50% tùy theo cấp học bậc học).
Bảng lương giáo viên mầm non hạng IV (mã số V.07.02.06), tiểu học hạng IV (mã số 07.03.09)
![]() |
Bảng lương giáo viên trung học cơ sở hạng III (mã số V.07.04.12), giáo viên mầm non hạng III (mã số V.07.02.05), tiểu học hạng III (mã số 07.03.08)
![]() |
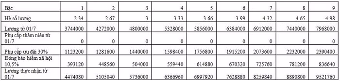
Bảng lương giáo viên trung học phổ thông hạng IV (mã số V. 07.05.15), trung học cơ sở hạng II (mã số V.07.04.11), giáo viên mầm non hạng II (mã số V.07.02.04), tiểu học hạng II (mã số 07.03.07)
![]() |
Bảng lương giáo viên trung học phổ thông hạng II (mã số V. 07.05.14), trung học cơ sở hạng I (mã số V.07.04.10)
![]() |
Bảng lương giáo viên trung học phổ thông hạng I (mã số V. 07.05.13)
![]() |
Các bảng lương trên có tính chất tham khảo. Cách tính cơ bản như sau:
Lương = Hệ số lương x 1.600.000 đồng
Phụ cấp ưu đãi = Lương x 30%
Đóng bảo hiểm xã hội = Lương x 10,5% (phụ cấp ưu đãi không dùng để tính đóng bảo hiểm xã hội)
Thực nhận = Lương + phụ cấp ưu đãi – đóng bảo hiểm xã hội
Khi thực hiện lương cơ sở mới tăng nhưng thực nhận của nhiều giáo viên lại giảm do mất các khoản phụ cấp, rất mong Chính phủ có các văn bản tháo gỡ vấn đề trên.





